服务热线:132 7634 4018
广告
买房这种大事还是专业的好

每周快讯(12.16-12.22)莱芜网签37套,面积5002㎡,均价7951.90元/㎡

  • 编辑:住在莱芜
  • 发布时间:
  • 山东 莱芜
  • 阅读量:1676



上周(12.16-12.22)共发放了16个预售许可证,批准预售套数 1494套,批准预售面积约12.6万㎡;新建商品房网签套数3161套,网签面积约21.3万㎡;土地供应35宗,成交16宗。

周网签量

新建商品房周网签量


新建商品住宅周网签量

新建商品住宅网签套数排名前五项目:

 济高揽岳、中建·星光城市、文誉府、中海阅麓山、保利琅悦


信息来源:济南住宅与房地产信息网

预售许可

match

信息来源:济南市行政审批服务局


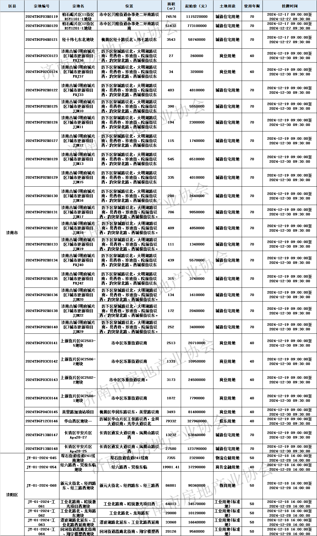
土地信息

土地供应


土地成交

信息来源:济南公共资源交易中心


  • 来源:济南市房地产业协会


  • 对买房有疑问?直接找房产咨询师,量身定制你的个人买房解决方案!

    免费咨询电话:132 7634 4018

    亲,你尚未登录!请先登录再后评论。登录

    推荐文章

    此页面所示信息由开发商提供,最终以政府部门登记备案为准,请谨慎核查。

    服务热线

    132 7634 4018

    (周一至周六全天)

    莱芜房产网

    莱芜房产网

    芜房网官网

    微信公众号:芜房网官网